Grève interprofessionnelle du 17 mars: le fonctionnement des écoles perturbé.
Mouvement de grève à l'appel de la CGT et de l'UNSA, pour réclamer la hausse des salaires et du pouvoir d'achat.
/t:r(unknown)/fit-in/1100x2000/filters:format(webp)/medias/Vbz5oEoZRt/image/Capture1647448525845.png)
Face à la hausse du coût de la vie, les syndicats CGT et UNSA appellent à la grève demain, jeudi 17 mars, pour réclamer une augmentation des salaires, des bourses étudiantes mais également des pensions de retraite.
Un appel qui fait suite à la grève du 27 janvier dernier, autour du pouvoir d'achat, et qui avait connu une forte mobilisation avec plus de 170 rassemblements à travers tout le pays.
Demain, jeudi, des rassemblements devraient se tenir dans les grandes villes, comme Rennes, Brest, Pontivy ou encore Lorient en Bretagne.
Les agents municipaux étant concernés par ce mouvement de grève, des perturbations sont à prévoir, dans les écoles, concernant la cantine ou la garderie des enfants.
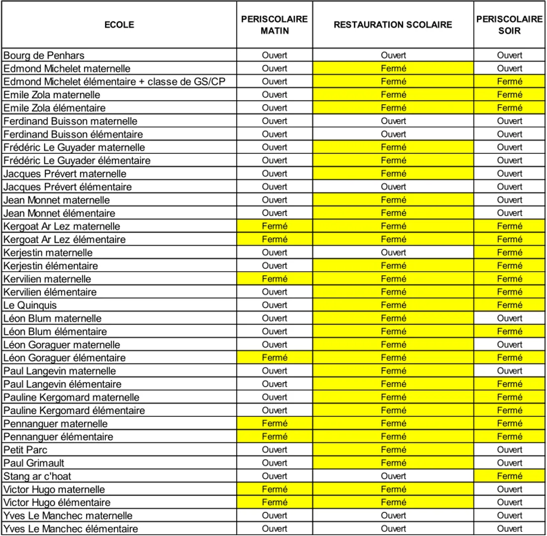
A Quimper, la grève va fortement impacter les services périscolaires, demain jeudi.
Retrouvez le tableau récapitulatif des écoles publiques de la préfecture finistérienne.
/t:r(unknown)/fit-in/1100x2000/filters:format(webp)/medias/Vbz5oEoZRt/image/quimper1647444800497.png)
Publié : 16 mars 2022 à 17h35
/t:r(unknown)/fit-in/300x2000/filters:format(webp)/filters:quality(100)/radios/rmn/images/logo_yms0FlH36F.png)
/t:r(unknown)/fit-in/400x2000/filters:format(webp)/medias/jQeGQgXNld/image/Btn_Contact_Redaction1739790016929.png)